Educational Materials

All the educational content below was created for usage in Berkeley’s CS61B: Data Structures and Algorithms. My involvement with the course is as follows:

Educational videos

With the exception of the first link below, the lectures I delivered from CS61BL Su21 are the property of the University, and are not publicly available on YouTube. The other videos I delivered are recorded discussion walkthroughs from CS61B Sp21. Each video contains some course announcements, a content review, and then goes over worksheet questions.

Discussion problems

These questions for written for CS61B’s Discussion questions during Spring 2021. All questions and solutions shown were written by myself and potentially edited/reviewed by other GSIs; parts that were fully written by other individuals have been omitted. The questions may be viewed as PDFs or by clicking the dropdowns below.

Worksheet PDF | Solution PDF

Intro to Java and static vs class variables

Static Electricity

Use the code below to answer the following questions.

public class Pokemon {
  public String name;
  public int level;
  public static String trainer = "Ash";
  public static int partySize = 0;

  public Pokemon(String name, int level) {
    this.name = name;
    this.level = level;
    this.partySize += 1;
  }

  public static void main(String[] args) {
    Pokemon p = new Pokemon("Pikachu", 17);
    Pokemon j = new Pokemon("Jolteon", 99);
    System.out.println("Party size: " + Pokemon.partySize);
    p.printStats();
    int level = 18;
    Pokemon.change(p, level);
    p.printStats();
    Pokemon.trainer = "Ash";
    j.trainer = "Brock";
    p.printStats();`
  }

  public static void change(Pokemon poke, int level) {
    poke.level = level;
    level = 50;
    poke = new Pokemon("Voltorb", 1);
    poke.trainer = "Team Rocket";
  }

  public void printStats() {
    System.out.println(name + " " + level + " " + trainer);
  }
}
    
  1. Write what would be printed after the main method is executed.
  2. On line 28, we set level equal to 50. What level do we mean? An instance variable of the Pokemon class? The local variable containing the parameter to the change method? The local variable in the main method? Something else?
  3. If we were to call Pokemon.printStats() at the end of our main method, what would happen?
Inheritance

"Senior class"

For each line in the main method of our testPeople class, if something is printed, write it next to the line. If the line results in an error, write next it whether it is a compile time error or runtime error, and then proceed as if that line were not there.

public class Person {
    public String name;
    public int age;

    public Person(String name, int age) {
        this.name = name;
        this.age = age;
    }
    
    public void greet(Person other) {
        System.out.println("Hello, " + other.name);
    }
}


public class Grandma extends Person {

    public Grandma(String name, int age) {
        super(name, age);
    }
    
    @Override
    public void greet(Person other) {
        System.out.println("Hello, young whippersnapper");
    }
    
    public void greet(Grandma other) {
        System.out.println("How was bingo, " + other.name + "?");
    }
}

public class testPeople {
    public static void main(String[] args) {
        Person n = new Person("Neil", 12);
        Person a = new Grandma("Ada", 60);
        Grandma v = new Grandma("Vidya", 80);
        Grandma al = new Person("Alex", 70);
        n.greet(a);
        n.greet(v);
        v.greet(a);
        v.greet((Grandma) a);
        a.greet(n);
        a.greet(v);
        ((Grandma) a).greet(v);
        ((Grandma) n).greet(v);
    }
}

Abstract Data Structures

ADT Matchmaking

Match each task to the correct Abstract Data Type for the job by drawing a line connecting matching pairs.

  1. You want to keep track of all the unique users who have logged on to your system.
  2. You are creating a version control system and want to associate each file name with a Blob.
  3. We are running a server and want to service clients in the order they arrive.
  4. We have a lot of books at our library, and we want our website to display them in some sorted order. We have multiple copies of some books and we want each listing to be separate.
  1. List
  2. Map
  3. Set
  4. Queue
Asymptotic Analysis

Re-Cursed with Asymptotics

What is the runtime of the code below in terms of n?

public static int[] curse(int n) {
    if (n <= 0) {
        return 0;
    } else {
        return n + curse(n - 1);
    }
}

Assume our BST (Binary Search Tree) below is perfectly bushy. What is the runtime of a single find operation in terms of N, the number of nodes in the tree? In this setup, assume a Tree has a Key (the value of the tree) and then pointers to two other trees, Left and Right.

public static BST find(BST T, Key sk) {
    if (T == null)
        return null;
    if (sk.compareTo(T.key) == 0))
        return T;
    else if (sk.compareTo(T.key) < 0)
        return find(T.left, sk);
    else
        return find(T.right, sk);
}

Can you find a runtime bound for the code below? We can assume the System.arraycopy method takes \Theta(N) time, where N is the number of elements copied. The official signature is System.arrayCopy(Object sourceArr, int srcPos, Object dest, int destPos, int length). Here, srcPos and destPos are the starting points in the source and destination arrays to start copying and pasting in, respectively, and length is the number of elements copied.

public static void silly(int[] arr) {
    if (arr.length <= 1) {
        System.out.println("You won!");
    return;
}

int newLen = arr.length / 2
int[] firstHalf = new int[newLen];
int[] secondHalf = new int[newLen];
System.arraycopy(arr, 0, firstHalf, 0, newLen);
System.arraycopy(arr, newLen, secondHalf, 0, newLen);
silly(firstHalf);
silly(secondHalf);
}

Disjoint Sets

Runtime Analysis on Disjoint Sets

What is the runtime for "connect" and "isConnected" operations using our Quick Find, Quick Union, and Weighted Quick Union abstract data structures? Can you explain why the Weighted Quick union has better runtimes for these operations than the regular Quick Union?
Hashing

A Side of Hashbrowns

We want to map food items to their yumminess. We want to be able to find this information in constant time, so we've decided to use java's built-in HashMap class! Here, the key is a String representing the food item and the value is an int yumminess rating.

For simplicity, let's say that here a String's hashcode is the first letter's position in the alphabet (A = 0, B = 1... Z = 25). For example, the String "hashbrown" starts with "h", and "h" is 7th letter in the alphabet (0 indexed), so the hashCode would be 7. Note that in reality, a String has a much more complicated hashCode() implementation.

Our HashMap will compute the index as the key's hashcode value modulo the number of buckets in our HashMap. Assume the initial size is 4 buckets, and we double the size our HashMap as soon as the load factor reaches 3/4.

a) Draw what the HashMap would look like after the following operations.

HashMap<Integer, String> hm = new HashMap<>();
hm.put("Hashbrowns", 7);
hm.put("Dim sum", 10);
hm.put("Escargot", 5);
hm.put("Brown bananas", 1);
hm.put("Burritos", 10);
hm.put("Buffalo wings", 8);
hm.put("Banh mi", 9);

b) Do you see a potential problem here with the behavior of our hashmap? How could we solve this?

Tree and Graph Algorithm Conceptual Questions

A Tree's Take on Graphs

Your friend at Stanford has made some statements about graphs, but you believe they are all false. Provide counterexamples to each of the statements below:

  • "Every graph has one unique MST."
  • "No matter what heuristic you use, A* search will always find the correct shortest path."
  • "If you add a constant factor to each edge in a graph, Dijkstra's algorithm will return the same shortest paths tree."
Minimum Spanning Trees

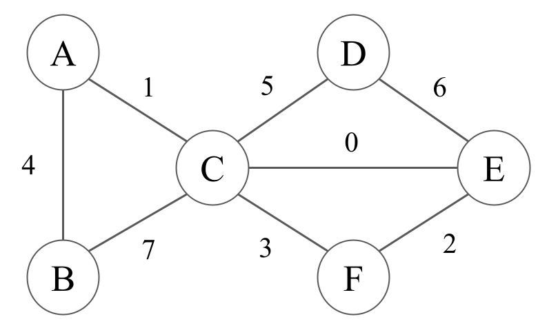
Minimalist Moles

Mindy the mole wants to dig a network of tunnels connecting all of their secret hideouts. There are a set few paths between the secret hideouts that Mindy can choose to possibly include in their tunnel system, shown below. However, some portions of the ground are harder to dig than others, and Mindy wants to do as little work as possible. In the diagram below, the numbers next to the paths correspond to how hard that path is to dig for Mindy.

A graph with 6 vertices, labeled A-F. It has weighted edges, listed as follows:
    (A,B)=4. (A,C)=1. (B,C)=7. (C, D)=5. (C,E)=0. (C, F)=3. (D,E)=6. (E,F)=2

How can Mindy figure out a tunnel system to connect their secret hideouts while doing minimal work?

Extra: Find a valid MST for the graph above using Kruskal's algorithm, then Prims. For Prim's algorithm, take A as the start node. In both cases, if there is ever a tie, choose the edge that connects two nodes with lower alphabetical order.

Extra: Are the above MSTs different or the same? Is there a different tie-breaking scheme that would change your answer?

Shortest Paths Algorithms

The Shortest Path To Your Heart

For the graph below, let g(u, v) be the weight of the edge between any nodes u and v. Let h(u, v) be the value returned by the heuristic for any nodes u and v.

A graph, consisting of 7 vertices with labels A-G. It contains weighted edges,
    listed as follows: (A, B) = 1. (B, C) = 3. (C, F) = 2. (C, G) = 4. (F, G) = 1. (A, D) = 2. (D, E) = 3. (E, G) = 4. (A, E) = 7

Below, the pseudocode for Dijkstra's and A* are both shown for your reference throughout the problem.

function dijkstrasAlgorithm:
  PQ = new PriorityQueue()
  PQ.add(A, 0)
  PQ.add(v, infinity) # (all nodes except A).

  distTo = {} # map
  distTo[A] = 0
  distTo[v] = infinity # (all nodes except A).

  while (not PQ.isEmpty()):
    popNode, popPriority = PQ.pop()
    for child in popNode.children:
      if PQ.contains(child):
        potentialDist = distTo[popNode] + edgeWeight(popNode, child)
        if potentialDist < distTo[child]:
          distTo.put(child, potentialDist)
          PQ.changePriority(child, potentialDist)
    
function aStarSearch:
  PQ = new PriorityQueue()
  PQ.add(A, h(A))
  PQ.add(v, infinity) # (all nodes except A).

  distTo = {} # map
  distTo[A] = 0
  distTo[v] = infinity # (all nodes except A).

  while (not PQ.isEmpty()):
    poppedNode, poppedPriority = PQ.pop()
    if (poppedNode == goal): terminate

    for child in poppedNode.children:
      if PQ.contains(child):
        potentialDist = distTo[poppedNode] + edgeWeight(poppedNode, child)
        if potentialDist < distTo[child]:
          distTo.put(child, potentialDist)
          PQ.changePriority(child, potentialDist + h(child))
    

Run Dijkstra's algorithm to find the shortest paths from A to every other vertex. You may find it helpful to keep track of the priority queue. We have provided a table to keep track of best distances, and the edge leading to each vertex on the currently known shortest paths.

A B C D E F G
distTo
edgeTo

Extra: Given the weights on the graph above, as well as the heuristic values listed below, what path would A* search return, starting from A and with G as a goal?

  • h(A, G) = 7
  • h(B, G) = 6
  • h(C, G) = 3
  • h(D, G) = 6
  • h(E, G) = 3
  • h(F, G) = 1
A B C D E F G
distTo
edgeTo
Sorting Algorithms

Sorta Interesting, Right

  1. What does it mean to sort "in place", and why would we want this?
  2. What does it mean for a sort to be "stable"? Which sorting algorithms that we have seen are stable?
  3. Which algorithm would run the fastest on an already sorted list?
  4. Given any list, what is the ideal pivot for quicksort?
  5. So far, in class, we've mostly applied our sorts to lists of numbers. In practice, how would we typically make sure our sorts can be applied to other types?

Page layout forked from Jekyll Researcher theme by Ankit Sultana